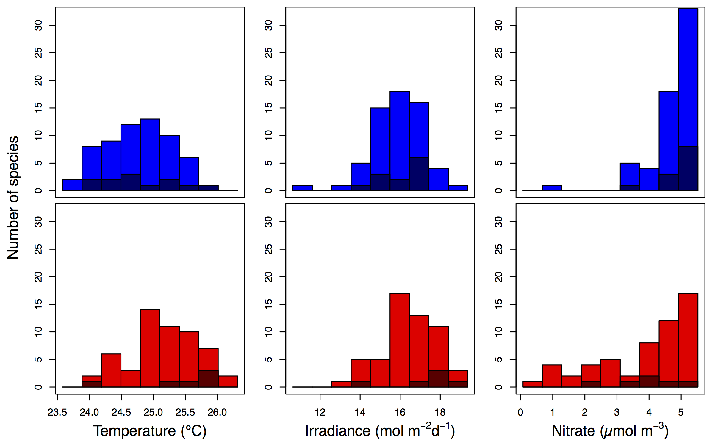
Our study of phytoplankton niches at Station Cariaco show that phytoplankton can evolve and change their niches over a 10-15 year period. The figure below shows the distribution of mean phytoplankton niche for temperature, irradiance, and nitrate concentration in a cooler period (blue) and a warmer period (red). Temperature and irradiance niches shift to track changes in the environment. The niches of some phytoplankton shift to lower nitrate concentrations as nitrate decreases in the environment, but many phytoplankton niches remain effectively unchanged.

Citation: AJ Irwin, ZV Finkel, F Müller-Karger, L Troccoli Ghinaglia. Phytoplankton adapt to changing ocean environments. Proc. Nat. Acad. Sci. USA 112: 5762-66. 10.1073/pnas.1414752112